首页
当x→0时,2x+x2是x的( )
2024-11-09 10:02:23
高等数学一(专升本)
当x→0时,2x+x2是x的( )
A、等价无穷小
B、较低阶无穷小
C、较高阶无穷小
D、同阶但不等价的无穷小
【正确答案】:D
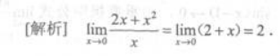
【题目解析】:
上一篇:
下一篇: