首页
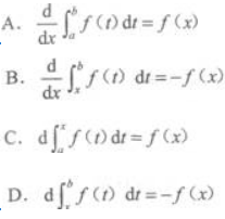
设.f(x)在[a,b]上连续,x∈[a,b],则下列等式成立的是( )
2024-11-09 10:01:51
高等数学一(专升本)
设.f(x)在[a,b]上连续,x∈[a,b],则下列等式成立的是( )
A、A
B、B
C、C
D、D
【正确答案】:B
【题目解析】:由可变限积分求导公式知选B。
上一篇:
下一篇: