首页
2024-11-09 10:01:50
高等数学一(专升本)
A、A
B、B
C、C
D、D
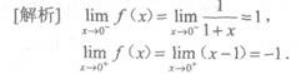
【正确答案】:C
【题目解析】:
上一篇:
设x是f(x)的一个原函数,则f(x)=
下一篇:
设.f(x)在[a,b]上连续,x∈[a,b],则下列等式成立的是( )