首页
,其中D是由 及x轴所围成的平面区域.
2024-11-09 10:00:00
高等数学一(专升本)
,其中D是由
及x轴所围成的平面区域.
【正确答案】:
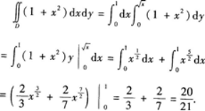
积分区域D如图5-5所示.若选择先对Y积分后对x积分,区域D可以表示为
因此
上一篇:
下一篇:
计算二重积分 ,其中D是由直线 及y=1围 成的平面区域.