首页
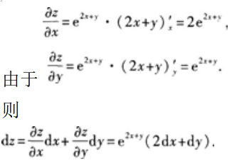
设函数z=e2x+y则全微分出dz=______.
2024-11-09 09:59:52
高等数学一(专升本)
设函数z=e2x+y则全微分出dz=______.
【正确答案】:
上一篇:
设平面薄板所占Oxy平面上的区域D为1≤x2+y2≤4,x≥0,y≥0,其面密度 u(x,y)=2+y2,求该薄板的质量m.
下一篇:
设函数z=xy,则全微分dz_______.