首页
2024-11-09 09:59:39
高等数学一(专升本)
【正确答案】:
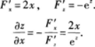
则
上一篇:
设Z=Z(x,Y)是由方程x+y3+z+e2=1确定的函数,求dz
下一篇: