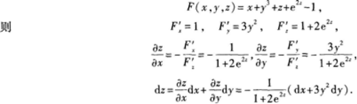
设Z=Z(x,Y)是由方程x+y3+z+e2=1确定的函数,求dz

设Z=Z(x,Y)是由方程x+y3+z+e2=1确定的函数,求dz
【正确答案】:

利用隐函数求偏导数公式,记


【题目解析】:首先,令$F(x,y,z)=x+y^3+z+e^z-1$,则$F_x=1$,$F_y=3y^2$,$F_z=1+e^z$。 然后,根据隐函数求偏导数公式,有: $\frac{\partial z}{\partial x}=-\frac{F_x}{F_z}=-\frac{1}{1+e^z}$ $\frac{\partial z}{\partial y}=-\frac{F_y}{F_z}=-\frac{3y^2}{1+e^z}$ 最后,将$\frac{\partial z}{\partial x}$和$\frac{\partial z}{\partial y}$代入$dz=\frac{\partial z}{\partial x}dx+\frac{\partial z}{\partial y}dy$,得到: $dz=-\frac{1}{1+e^z}dx-\frac{3y^2}{1+e^z}dy$
上一篇:
下一篇: