首页
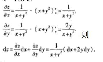
设函数z=ln(x+y2),则全微分dz=_______.
2024-11-09 09:59:31
高等数学一(专升本)
1
设函数z=ln(x+y2),则全微分dz=_______.
【正确答案】:
上一篇:
设函数z=ln(x+y),则全微分dz=_______.
下一篇: