首页
求由曲线y=x2(x≥0),直线y=1及Y轴围成的平面图形的面积·
2024-11-09 09:58:15
高等数学一(专升本)
求由曲线y=x2(x≥0),直线y=1及Y轴围成的平面图形的面积·
【正确答案】:
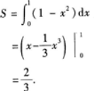
y=x2(x≥0),y=1及y轴围成的平面图形D如图3—1所示.其面积为
上一篇:
下一篇:
由曲线y=x2,直线y=a,x=0及x=1所围成的图形如图3—4中阴影部分所示,其中0≤a≤1. (1)求图中阴影部分的面