首页
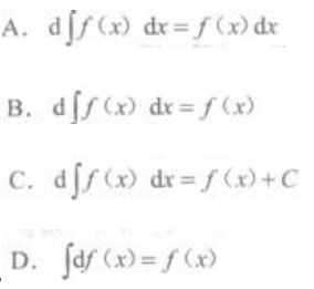
若f(x)有连续导数,下列等式中一定成立的是()
2024-11-09 09:56:32
高等数学一(专升本)
若f(x)有连续导数,下列等式中一定成立的是()
A、A
B、B
C、C
D、D
【正确答案】:A
【题目解析】:
上一篇:
下一篇: