首页
2024-11-09 09:56:30
高等数学一(专升本)
A、A
B、B
C、C
D、D
【正确答案】:C
【题目解析】:
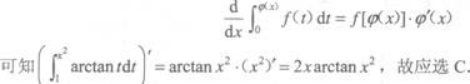
由可变限积分求导公式
上一篇:
设函数f(x)=sinx,
下一篇:
若f(x)有连续导数,下列等式中一定成立的是()