首页
2024-11-09 09:55:30
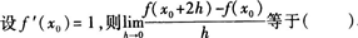
高等数学一(专升本)
A、2
B、1
C、1/2
【正确答案】:A
【题目解析】:
由于f(x)在x=x0处可导,由导数定义可知
故选A.
上一篇:
下一篇:
设,y=COSx,则y′等于().