首页
2024-11-09 09:55:28
高等数学一(专升本)
A、A
B、B
C、C
D、D
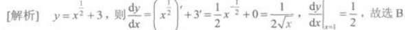
【正确答案】:B
【题目解析】:
上一篇:
设lnx是f(x)的一个原函数,则f'(x)=( )
下一篇: