首页
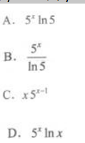
设y=5x,则y'=()
2024-11-09 09:55:26
高等数学一(专升本)
设y=5x,则y'=()
A、A
B、B
C、C
D、D
【正确答案】:A
【题目解析】:
上一篇:
设y=f(x)为可导函数,则当△x→0时,△y-dy为△x的( )
下一篇:
设lnx是f(x)的一个原函数,则f'(x)=( )