首页
2024-11-09 09:54:31
高等数学一(专升本)
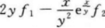
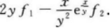
【正确答案】:
【答案】
【考情点拨】本题考查了复合函数的一阶偏导数的知识点. 【应试指导】
上一篇:
设函数z=x2ey。则全微分dz= .
下一篇:
微分方程y′′+6y′+13y=0的通解为.