首页
设函数z=x2ey。则全微分dz= .
2024-11-09 09:54:30
高等数学一(专升本)
1
设函数z=x2ey。则全微分dz= .
【正确答案】:
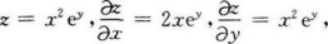
【答案】dz=2xeydx+x2eydy【考情点拨】本题考查了二元函数的全微分的知识点. 【应试指导】
上一篇:
下一篇: