首页
2024-11-09 09:53:33
高等数学一(专升本)
A、A
B、B
C、C
D、D
【正确答案】:A
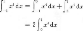
【题目解析】:
【考情点拨】本题考查了定积分的知识点.【应试指导】
上一篇:
设函数f(x)=2lnx+ex,则f′(2)等于( )
下一篇:
微分方程y′′-2y=ex的特解形式应设为( )