首页
2024-11-09 09:52:37
高等数学一(专升本)
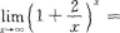
A、e
B、e-1
C、e2
D、e-2
【正确答案】:C
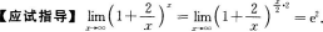
【题目解析】:
上一篇:
设函数 (x)=xlnx,则 ′(e)=( )
下一篇:
当x→0时,下列变量是无穷小量的为( )