什么是资本资产定价模型、单因素模型和市场模型?它们之间有什么样的联系和区别?

什么是资本资产定价模型、单因素模型和市场模型?它们之间有什么样的联系和区别?
【正确答案】:

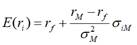
资本资产定价模型为:

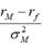
其中是无风险利率,斜率表示单位风险溢价,表示证券i和市场组合的协方差。

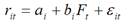
单因素模型的一般形式为:

其中:为证券it期的实际收益率;为证券i对因素F的敏感性;t期的因素值;为证券it期的残差项。

市场模型:

式中:I为市场指数;rI为市场指数I的收益率。指数模型可以看作单因素模型的特例,是将单因素模型中的宏观因素具体为具有代表性的市场指数。它意味着,证券收益的不确定性来自微观风险和宏观风险,而其中,宏观风险具体是证券市场总体的风险,即系统性风险。

CAPM是单指数模型的特例,单指数模型可以看作单因素模型的特例,是将单因素模型中的宏观因素具体为具有代表性的市场指数。