首页
试说明单个证券及证券组合的收益和风险的衡量方法
2024-11-07 18:03:34
投资学原理(重庆)(07250-cq)
1
试说明单个证券及证券组合的收益和风险的衡量方法
【正确答案】:
单个证券的收益:
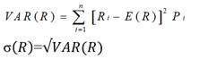
单个证券的风险:
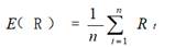
假设单一证券的日、月或年实际收益率为
R
t
(
t
= 1
,
2
,
···
,
n
),那么计算期望收益率的公式为:
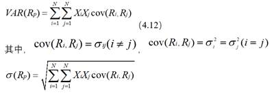
整个组合的风险程度表示为:
上一篇:
假设某投资者选择了A、B两个公司的股票构造其证券投资组合,两者各占投资总额的一半。已知A股票的期望收益率为24%,方差为16%,
下一篇:
试论述投资组合理论