首页
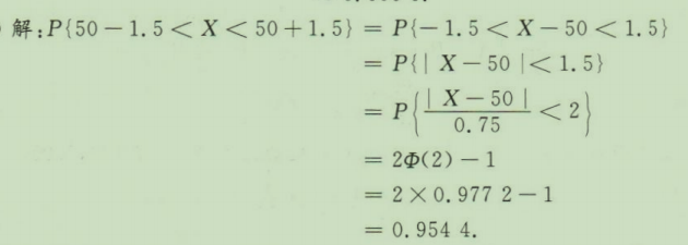
由自动车床生产的零件的长度(毫米)X服从正态分布N(50,0.75²),如果规定零件的长度在50±1.5毫米之间为合格品,求生产
2024-11-07 16:20:34
概率论与数理统计(工)(13174)
由自动车床生产的零件的长度(毫米)X服从正态分布N(50,0.75²),如果规定零件的长度在50±1.5毫米之间为合格品,求生产的零件是合格品的概率。
【正确答案】:
上一篇:
设X〜N(1,0.6²),求P{X>0}及P{0.2<X<1.8}。
下一篇:
设某元件的寿命(小时)X的概率密度为求该元件寿命超过300小时的概率。