• 首页

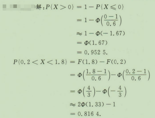
设X〜N(1,0.6²),求P{X>0}及P{0.2<X<1.8}。

  • 2024-11-07 16:20:33
  • 概率论与数理统计(工)(13174)
设X〜N(1,0.6²),求P{X>0}及P{0.2<X<1.8}。
【正确答案】:
上一篇:设某种药品的有效期为X天,其概率密度为求:(1)X的分布函数;(2)有效期至少为300天的概率。
下一篇:由自动车床生产的零件的长度(毫米)X服从正态分布N(50,0.75²),如果规定零件的长度在50±1.5毫米之间为合格品,求生产

最新文章

  • 小张与小李是一对夫妻,二人来自不同的外省县城,通过卓绝努力考大学进而留在省城工作。结婚后,双方类似的成长经历使他们达成共识:一定
  • 19世纪,向中国大肆走私鸦片的主要国家是()
  • 请结合具体事例,阐述中国传统工艺的创新方法。
  • 服务的流程是
  • 贯彻落实“安全第一,预防为主”方针的主要手段是
  • 项目可行性研究之后,要撰写项目建议书。
  • blood type
  • 中国共产党第一次明确提出反帝反封建民主革命纲领的会议是( )。
  • 素混凝土结构的混凝土强度等级不应低于
  • 昼から天気が_____なりました。

推荐文章

友情链接