• 首页

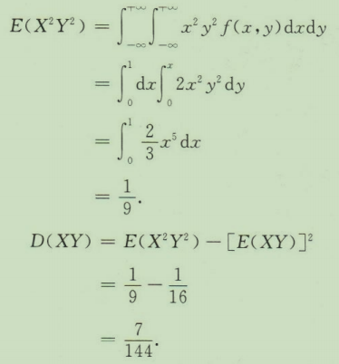
若(X,Y)的联合密度函数为试确定常数k,并求E(XY),D(XY)。

  • 2024-11-07 16:20:09
  • 概率论与数理统计(工)(13174)

若(X,Y)的联合密度函数为

试确定常数k,并求E(XY),D(XY)。


【正确答案】:

上一篇:已知随机变量X与Y的相关系数为ρ,求X₁=aX+b与X₂=cY+d的相关系数,其中a,b,c,d均为常数,且a≠0,c≠0。
下一篇:某厂生产的某种电子设备,平均寿命为4年(寿命服从指数分布),若售出后一年之内损坏予以调换,为此厂方要支付花费300元,售出一台设

最新文章

  • 小张与小李是一对夫妻,二人来自不同的外省县城,通过卓绝努力考大学进而留在省城工作。结婚后,双方类似的成长经历使他们达成共识:一定
  • 19世纪,向中国大肆走私鸦片的主要国家是()
  • 请结合具体事例,阐述中国传统工艺的创新方法。
  • 服务的流程是
  • 贯彻落实“安全第一,预防为主”方针的主要手段是
  • 项目可行性研究之后,要撰写项目建议书。
  • blood type
  • 中国共产党第一次明确提出反帝反封建民主革命纲领的会议是( )。
  • 素混凝土结构的混凝土强度等级不应低于
  • 昼から天気が_____なりました。

推荐文章

友情链接