首页
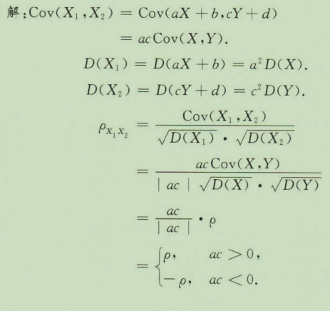
已知随机变量X与Y的相关系数为ρ,求X₁=aX+b与X₂=cY+d的相关系数,其中a,b,c,d均为常数,且a≠0,c≠0。
2024-11-07 16:20:07
概率论与数理统计(工)(13174)
已知随机变量X与Y的相关系数为ρ,求X₁=aX+b与X₂=cY+d的相关系数,其中a,b,c,d均为常数,且a≠0,c≠0。
【正确答案】:
上一篇:
(X,Y)的分布律为X与Y是否线性相关?
下一篇:
若(X,Y)的联合密度函数为试确定常数k,并求E(XY),D(XY)。