首页
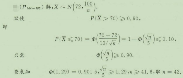
设总体X〜N(72,100),为使样本均值大于70的概率不小于90%,则样本容量n至少应取多少?
2024-11-07 16:19:56
概率论与数理统计(工)(13174)
设总体X〜N(72,100),为使样本均值大于70的概率不小于90%,则样本容量n至少应取多少?
【正确答案】:
上一篇:
从一正态总体X中抽取容量为16的样本,假设有2%的样本均值与总体均值之差的绝对值在2以上,求总体的标准差。
下一篇:
某学校有1000名住校生,每人都以80%的概率去图书馆上自习,问图书馆至少应设多少个座位,才能以99%的概率保证去上自习的学生都