首页
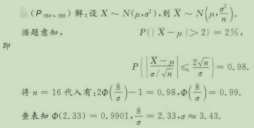
从一正态总体X中抽取容量为16的样本,假设有2%的样本均值与总体均值之差的绝对值在2以上,求总体的标准差。
2024-11-07 16:19:55
概率论与数理统计(工)(13174)
1
从一正态总体X中抽取容量为16的样本,假设有2%的样本均值与总体均值之差的绝对值在2以上,求总体的标准差。
【正确答案】:
上一篇:
已知某种灯泡的寿命X〜N(μ,σ²),今随机抽取4只灯泡,测得寿命(单位:小时)为:1502,1413,1367,1560用矩法
下一篇:
设总体X〜N(72,100),为使样本均值大于70的概率不小于90%,则样本容量n至少应取多少?