首页
由长期统计资料知,某一地区在4月份下雨(记作事件A)的概率为4/15,刮大风(用B表示)的概率为7/15,既下雨又刮大风的概率为
2024-11-07 16:19:45
概率论与数理统计(工)(13174)
1
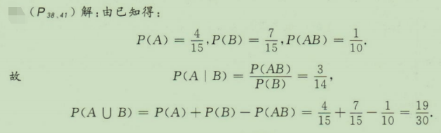
由长期统计资料知,某一地区在4月份下雨(记作事件A)的概率为4/15,刮大风(用B表示)的概率为7/15,既下雨又刮大风的概率为1/10,求P(A|B)和P(A∪B)。
【正确答案】:
上一篇:
设随机变量(X,Y)的概率密度为
下一篇:
设连续型随机变量X的分布函数为F(x)=A+Barctanx(―∞<x<+∞)。求:(1)常数A和B;(2)X落入(-1,1)的