• 首页

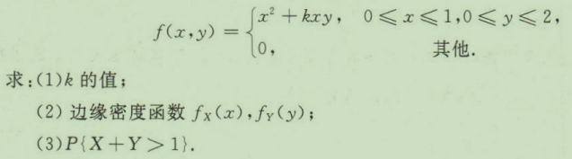
设随机变量(X,Y)的概率密度为

  • 2024-11-07 16:19:44
  • 概率论与数理统计(工)(13174)

设随机变量(X,Y)的概率密度为


【正确答案】:
上一篇:某村在水稻全面收割前,随机抽取10块地进行测量,亩产量分别为(单位:kg):540,632,674,694,695,705,68
下一篇:由长期统计资料知,某一地区在4月份下雨(记作事件A)的概率为4/15,刮大风(用B表示)的概率为7/15,既下雨又刮大风的概率为

最新文章

  • 小张与小李是一对夫妻,二人来自不同的外省县城,通过卓绝努力考大学进而留在省城工作。结婚后,双方类似的成长经历使他们达成共识:一定
  • 19世纪,向中国大肆走私鸦片的主要国家是()
  • 请结合具体事例,阐述中国传统工艺的创新方法。
  • 服务的流程是
  • 贯彻落实“安全第一,预防为主”方针的主要手段是
  • 项目可行性研究之后,要撰写项目建议书。
  • blood type
  • 中国共产党第一次明确提出反帝反封建民主革命纲领的会议是( )。
  • 素混凝土结构的混凝土强度等级不应低于
  • 昼から天気が_____なりました。

推荐文章

友情链接