首页
设f(x)为奇函数且导数存在,若f(1)=1,fˊ(1)=-1,则()
2024-11-07 12:08:35
直播电商(实践)(14893)
设f(x)为奇函数且导数存在,若f(1)=1,fˊ(1)=-1,则()
A、f(-1)=1,fˊ(-1)=-1
B、f(-1)=1,fˊ(-1)=1
C、f(-1)=-1,fˊ(-1)=-1
D、f(-1)=-1,fˊ(-1)=1
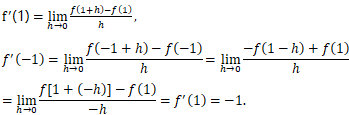
【正确答案】:C
【题目解析】:
P71)本题主要考查的知识点是函数在一点处的导数的定义. 因为f(x)为奇函数,所以f(-1)=-f(1)=-1.因为f(x)的导数存在,
上一篇:
下一篇: