首页
2024-11-07 12:08:34
直播电商(实践)(14893)
B、1
C、不存在
D、2
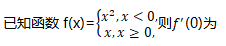
【正确答案】:C
【题目解析】:
(P72-73)本题主要考查的知识点是函数在一点可导的条件,由题意可得
上一篇:
下一篇:
设f(x)为奇函数且导数存在,若f(1)=1,fˊ(1)=-1,则()