首页
2024-11-07 12:08:25
直播电商(实践)(14893)
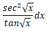
A、
B、
C、
D、
【正确答案】:D
【题目解析】:
(P80)本题主要考查的知识点是复合函数的微分.
上一篇:
下一篇:
设y=lncosx,则fˊ (x)=()