首页
2024-11-07 12:08:24
直播电商(实践)(14893)
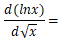
A、2/x
B、
C、
D、
【正确答案】:B
【题目解析】:
(P79)本题主要考查的知识点是复合函数的链式求导法则.
上一篇:
在给定的变化过程中,下列函数哪些是无穷小量?哪些是无穷大量?f(x)=e(1/x)-1,x→0+
下一篇: