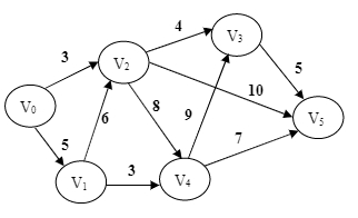
设有如下带权有向无环图,⑴ 给出该图的正邻接链表存储结构;⑵ 给出对该图进行拓扑排序过程。

设有如下带权有向无环图,⑴ 给出该图的正邻接链表存储结构;⑵ 给出对该图进行拓扑排序过程。


【正确答案】:

解:⑴ 该图的正邻接链表如下图所示:

⑵ 给出对该图进行拓扑排序过程如下,其拓扑序列是:V0→V1→V2→V4→V3→V5