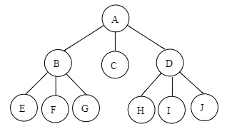
设有一棵树如下图,⑴ 给出该树的孩子表示法的复合链表存储结构;⑵ 将此树转换为二叉树;⑶ 给出转换后二叉树的后序遍历序列。
【正确答案】:
解:⑴ 该树的孩子表示法的复合链表存储结构如下图;
⑵ 将此树转换为二叉树如下图。
⑶ 转换后二叉树的后序遍历序列是:GFEJIHDCBA
设有一棵树如下图,⑴ 给出该树的孩子表示法的复合链表存储结构;⑵ 将此树转换为二叉树;⑶ 给出转换后二叉树的后序遍历序列。
解:⑴ 该树的孩子表示法的复合链表存储结构如下图;
⑵ 将此树转换为二叉树如下图。
⑶ 转换后二叉树的后序遍历序列是:GFEJIHDCBA