首页
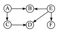
已知图G采用邻接矩阵存储,邻接矩阵如题27图所示。(1)根据邻接矩阵画出图G。(2)写出图G的从顶点A开始的1个拓扑序列。
2024-11-07 01:34:32
数据结构与算法(13003)
已知图G采用邻接矩阵存储,邻接矩阵如题27图所示。
(1)根据邻接矩阵画出图G。
(2)写出图G的从顶点A开始的1个拓扑序列。
【正确答案】:
(1)
(2)A,C,E,B,D,F
上一篇:
设电文字符集是{e1,e2,e3,e4,e5,e6},各字符出现的频次分别为{20,21,1,15,22,3}。现要为该字符集设
下一篇:
有数据序列(15,16,04,12,21,23,43,31,16,13),使用希尔排序方法将其排成升序序列。请回答下列问题。(1