首页
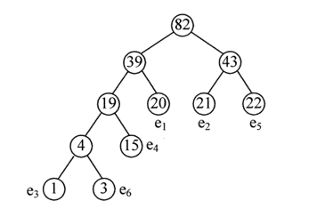
设电文字符集是{e1,e2,e3,e4,e5,e6},各字符出现的频次分别为{20,21,1,15,22,3}。现要为该字符集设
2024-11-07 01:34:31
数据结构与算法(13003)
1
设电文字符集是{e
1
,e
2
,e
3
,e
4
,e
5
,e
6
},各字符出现的频次分别为{20,21,1,15,22,3}。
现要为该字符集设计哈夫曼编码。请回答下列问题。
(1)给出构造的哈夫曼树。
(2)给出各字符的哈夫曼编码。
【正确答案】:
(1)哈夫曼树
(2)e
1
:01 e
2
:10 e
3
:0000 e
4
:001 e
5
:11 e
6
:0001
上一篇:
单链表类型定义如下。typedef struct node{int data;struct node *next;}ListNo
下一篇:
已知图G采用邻接矩阵存储,邻接矩阵如题27图所示。(1)根据邻接矩阵画出图G。(2)写出图G的从顶点A开始的1个拓扑序列。