首页
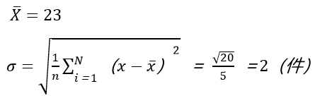
根据下列资料计算日产量的标准差。日常量(件):20、22、23、24、26
2024-11-06 09:44:11
教育统计学(08327)
1
根据下列资料计算日产量的标准差。
日常量(件):20、22、23、24、26
【正确答案】:
上一篇:
计算下列样本数据的平均数和根据定义的标准差。9,3,7,5,6,8,7,5,8,9,4,6,5,6,8,7,4,10
下一篇:
某售货小组5个人,某天的销售额分别为440元,480元,520元,600元,750元,求该售货小组销售额的平均差。