首页
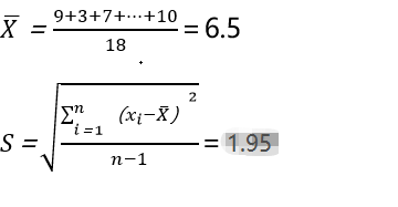
计算下列样本数据的平均数和根据定义的标准差。9,3,7,5,6,8,7,5,8,9,4,6,5,6,8,7,4,10
2024-11-06 09:44:10
教育统计学(08327)
计算下列样本数据的平均数和根据定义的标准差。
9,3,7,5,6,8,7,5,8,9,4,6,5,6,8,7,4,10
【正确答案】:
上一篇:
某企业生产某种产品需经过三个连续作业车间才能完成,资料如下,求三个车间产品的平均合格率。
下一篇:
根据下列资料计算日产量的标准差。日常量(件):20、22、23、24、26