首页
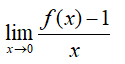
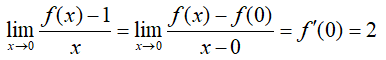
设函数f(x)在x=0处可导,且f(0)=1, f’(0)=2,用导数定义求极限
2024-11-06 06:01:12
经济应用数学(二)(04224)
设函数f(x)在x=0处可导,且f(0)=1, f
’
(0)=2,用导数定义求极限
【正确答案】:
上一篇:
设函数f(x)在点x0处可导,且
下一篇:
求曲线y=x3-6x2+x-1的凹凸区间.