首页
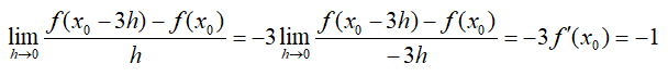
设函数f(x)在点x0处可导,且
2024-11-06 06:01:10
经济应用数学(二)(04224)
设函数f(x)在点x
0
处可导,且
【正确答案】:
上一篇:
已知函数在点x=0处连续,求常数a,b的值
下一篇:
设函数f(x)在x=0处可导,且f(0)=1, f’(0)=2,用导数定义求极限