首页
计算下列极限:
2024-11-06 06:01:04
经济应用数学(二)(04224)
计算下列极限:
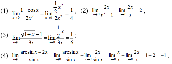
【正确答案】:
上一篇:
已知函数f(x+1)=x2+2x,求f(x).
下一篇:
求常数a的值,使函数处连续.