首页
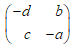
已知矩阵
2024-11-06 06:00:31
经济应用数学(二)(04224)
已知矩阵
A、
B、
C、
D、
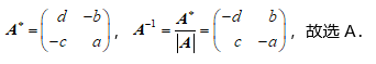
【正确答案】:A
【题目解析】:
上一篇:
设
下一篇:
设矩阵A,X为同阶方阵,且A可逆,若A(E-X)=E,则矩阵X=()