首页
设f(x)的原函数是F(x),则()
2024-11-06 06:00:14
经济应用数学(二)(04224)
设f(x)的原函数是F(x),则()
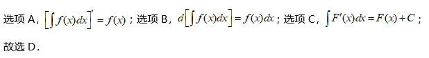
A、
B、
C、
D、
【正确答案】:D
【题目解析】:
上一篇:
设需求函数为Q=35-P2,其中P和Q分别是价格与需求量,则P=5时的需求价格弹性为
下一篇:
下列不等式成立的是()