首页
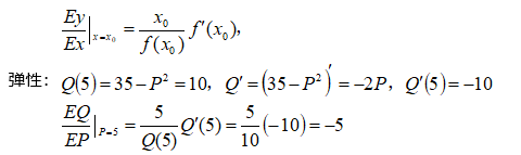
设需求函数为Q=35-P2,其中P和Q分别是价格与需求量,则P=5时的需求价格弹性为
2024-11-06 06:00:12
经济应用数学(二)(04224)
设需求函数为Q=35-P
2
,其中P和Q分别是价格与需求量,则P=5时的需求价格弹性为
A、-9
B、-7
C、-5
D、-3
【正确答案】:C
【题目解析】:
上一篇:
设函数f(x)=1+ln(1+2x2),则下列结论正确的是()
下一篇:
设f(x)的原函数是F(x),则()