首页
设函数y=ln(2x),则微分dy=()
2024-11-06 05:59:57
经济应用数学(二)(04224)
设函数y=ln(2x),则微分dy=()
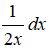
A、
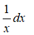
B、
C、
D、
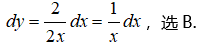
【正确答案】:B
【题目解析】:
上一篇:
设函数y=cos(1+x2),则微分dy=()
下一篇:
函数y=ln(1+x2)的微分dy=()