首页
函数y=ln(1+x2)的微分dy=()
2024-11-06 05:59:59
经济应用数学(二)(04224)
函数y=ln(1+x
2
)的微分dy=()
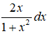
A、
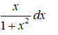
B、
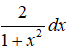
C、
D、
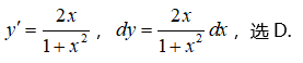
【正确答案】:D
【题目解析】:
上一篇:
设函数y=ln(2x),则微分dy=()
下一篇:
函数y=2x2-x+1在区间[-1,3]上满足拉格朗日中值定理的ξ=()