首页
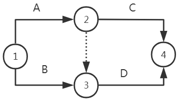
各工作间逻辑关系表及相应双代号网络图如下图,图中虚箭头的作用是( )。
2023-11-02 22:00:35
工程项目管理
各工作间逻辑关系表及相应双代号网络图如下图,图中虚箭头的作用是( )。
A.区分
B.断路
C.联系
D.相向
正确答案是C
上一篇:
<p>某双代号网络计划如下图,关键线路有( )条。<img title="" alt="" width="600" height
下一篇:
下列项目质量风险中,属于管理风险的是( )。