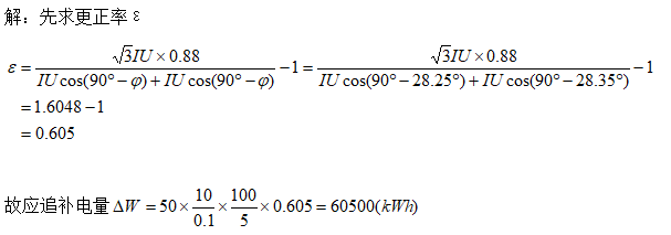
某三相高压电力用户,三相负荷平衡,在对其计量装置更换时,误将C相电流接入表计A相,负A相电流接入表计C相,已知故障期间平均功率因数为0.88,故障期间表码走了50个字,若该户计量TV比为10000/100V,TA比为100/5A,试求故障期间应追补的电量。

某三相高压电力用户,三相负荷平衡,在对其计量装置更换时,误将C相电流接入表计A相,负A相电流接入表计C相,已知故障期间平均功率因数为0.88,故障期间表码走了50个字,若该户计量TV比为10000/100V,TA比为100/5A,试求故障期间应追补的电量。
