首页
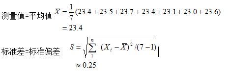
78. 同一条件下,7次测得某点温度为23.4℃,23.5℃,23.7℃,23.4℃,23.1℃,23.0℃,23.6℃,求测量
2023-11-09 05:40:51
装表接电题库
78. 同一条件下,7次测得某点温度为23.4℃,23.5℃,23.7℃,23.4℃,23.1℃,23.0℃,23.6℃,求测量值和标准差。
上一篇:
测量实际值为220V的电压时,U电压表的指示值为220V、V电压表的指示值为201V,测量实际值为20V的电压时,W
下一篇:
<p>79. <img src="https://learnfile.20230611.cn/learnAppQuestion/