首页
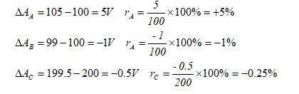
测量实际值为100V的电压时,A电压表的指示值为105V,B电压表的指示值为99V,测量实际值为200V的电压时,C
2023-11-09 05:37:21
装表接电题库
测量实际值为100V的电压时,A电压表的指示值为105V,B电压表的指示值为99V,测量实际值为200V的电压时,C电压表的指示值为199.5V,试分别求A、B、C三块表的绝对误差和相对误差。
上一篇:
某居民用户安装的是一只单相220V、5(20)A的电能表,试求该用户同时使用的电器功率和为多少?若只接照明负载,可接80瓦电灯几
下一篇:
在同一条件下,测得某段线路电压值分别为220.1V,220.5V,220.7V,220.4V,220.6V,求测量值和标准今偏差